La tasa interna de retorno o TIR de una inversión representa la rentabilidad de una inversión, y si todos los flujos de caja son positivos lleva a la misma conclusión que el valor actual neto.
La tasa interna de retorno es el interés que hace «0» al Valor Actual Neto o VAN de la inversión.

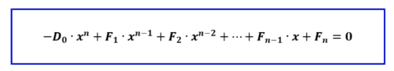
Para resolver está ecuación cuya incógnita es «i», se debe hacer el cambio de variable 1+i=x y quitando denominadores tendremos una ecuación polinómica:

De Matemáticas sabemos que las ecuaciones polinómicas de grado mayor que dos completas, han de resolverse por Ruffini, y que para poder resolverlas de forma exacta hay que encontrar una raíz entera entre los divisores del término independiente, por lo que salvo que tengamos dos flujos o una ecuación incompleta no se podrá resolver por métodos algebraicos y habrá que resolverla por métodos numéricos.
Una vez que se ha resuelto la ecuación concluiremos:



EJEMPLO:
Veamos un ejemplo con dos flujos de caja, es decir que la ecuación asociada será de segundo grado:

En primer lugar calcularemos los flujos de caja:

Escribimos la fórmula del Valor Actual Neto e igualamos a 0.

Haciendo el cambio de variable 1+i=x y quitando denominadores

Dividiendo por -1.000 todos los términos

Que resolviéndola por la fórmula, solo nos da una posible solución:

Deshaciendo el cambio nos queda 1+i=1,24; i=0,24 o 24%, por lo que la TIR o rentabilidad es del 24% que supera el 4% exigido y la inversión es viable
En la siguiente imagen puedes ver un resumen del apartado:

Puedes ver el vídeo del apartado:
O hacer el edpuzzle:


